All > Linux 2.6.28 > request_queue.sysfs_lock

Signature: request_queue.sysfs_lock

Matching Pair Graph (MPG)

MPG Function Information

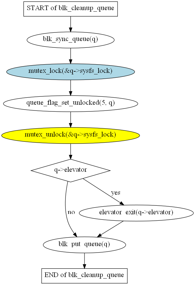
Function Name Control Flow Graph (CFG) Event Trace Graph (ETG) Source Code
blk_cleanup_queue linux_2.6.28\arch\block\blk-core.c
queue_attr_store linux_2.6.28\arch\block\blk-sysfs.c
queue_attr_show linux_2.6.28\arch\block\blk-sysfs.c